https://doi.org/10.29059/cienciauat.v20i1.2007

 

Optimización del proceso de hidrólisis del colágeno bovino y evaluación de sus propiedades tecnofuncionales y antioxidantes

 

Optimization of the bovine collagen hydrolysis process and evaluation of its techno-functional and antioxidant properties

 

Optimización de la hidrólisis de colágeno

Raúl Reyes-Bautista1*, Erik Gustavo Tovar-Pérez2, Gustavo Hernández-Mendoza1, Luis Alberto Reyes-Nava3, Jorge Enrique Pliego-Sandoval3

*Correspondencia: raul.rb@purisima.tecnm.mx/Fecha de recepción: 4 de marzo de 2025/Fecha de aceptación: 9 de septiembre de 2025/Fecha de publicación: 15 de septiembre de 2025

1Tecnológico Nacional de México/ITS de Purísima del Rincón, Laboratorio de Bioprocesos, División de Ingeniería Bioquímica, boulevard del Valle núm. 2301, Guardarrayas, Purísima del Rincón, Guanajuato, México, C. P. 36425. 2Universidad Autónoma de Querétaro, campus Amealco, Facultad de Ingeniería, Amealco de Bonfil, Querétaro, México, C. P. 76850. 3Universidad de Guadalajara, Centro Universitario del Sur, Departamento de Ciencias de la Naturaleza, Ciudad Guzmán, Jalisco, México, C. P. 49000.

 

Resumen

El colágeno es una proteína abundante en los organismos vertebrados. Forma parte de tejidos conectivos como la piel, las articulaciones, los ligamentos y los huesos. Se puede hidrolizar enzimáticamente con la finalidad de mejorar sus propiedades tecnofuncionales (solubilidad, emulsificación, espumantes, entre otras). Durante la generación de colágeno hidrolizado se exponen secuencias peptídicas que presenten propiedades bioactivas, como antioxidantes, antihipertensivas y antidiabéticas. El objetivo de este trabajo fue optimizar el grado de hidrólisis del colágeno bovino mediante proteasas comerciales y la evaluación de las propiedades tecnofuncionales y antioxidantes, de los productos resultantes. La optimización del grado de hidrólisis se realizó usando la metodología de superficie de respuesta, mediante un diseño central compuesto. El análisis proximal de la materia prima mostró un alto contenido de proteína (88 %). El proceso de optimización indicó un grado de hidrólisis extensivo (76.38 %, P ≤0.05) para la enzima PAL®, con una relación E/S de 1.43 UN/g en un tiempo de 23.75 h. Las propiedades tecnofuncionales se asociaron de manera positiva (P ≤ 0.05) con el grado de hidrólisis: 95.02 % con la solubilidad (pH 9), 48 % y 34 % con la capacidad y la estabilidad de emulsificación, respectivamente. El espumado disminuyó en función del incremento del grado de hidrólisis con la enzima HT proteolitic®, alcanzando una reducción del 47 % de la estabilidad y 26 % en la capacidad. La capacidad antioxidante del colágeno hidrolizado (24 h) incrementó de manera significativa (P ≤ 0.05), mostrando un valor de 62.38 % (DPPH) y 0.39 UA700 nm (poder reductor) con la enzima PAL® y de 80.55 % (ABTS) para la enzima HT proteolitic®. La optimización de la hidrólisis enzimática del colágeno mejoró sus propiedades tecnofuncionales (solubilidad y emulsificación) y antioxidantes.

 

PALABRAS CLAVE: colágeno hidrolizado, grado de hidrólisis, propiedades tecnofuncionales, optimización, actividad antioxidante.

 

ABSTRACT

Collagen is a protein abundant in vertebrate organisms. It is part of connective tissues such as skin, joints, ligaments, and bones. To enhance its techno-functional characteristics, namely solubility, viscosity, emulsification, and foaming capacity, it can undergo chemical and enzymatic hydrolysis. This process unveils specific peptide sequences with demonstrable bioactive functions, including antioxidant, antihypertensive, and antidiabetic effects. The present paper had a twofold purpose. Firstly, it aimed at optimizing the enzymatic hydrolysis of bovine collagen using commercial proteases. Secondly, it intended to assess the resulting products in terms of their techno-functional and antioxidant properties. Hydrolysis optimization was conducted using response surface methodology (RSM) with a Central Composite Design. Proximate analysis of the raw material indicated a high protein content (88 %). The optimization process indicated an extensive hydrolysis level (76.38 %, P ≤ 0.05) for the PAL® enzyme, with an E/S ratio of 1.43 UN/g within a 23.75 h period. The techno-functional properties were positively correlated (P ≤ 0.05) with the hydrolysis degree: 95.02% with solubility (pH 9), and 48% and 34% with capacity and emulsification stability respectively. Conversely, foaming capacity of emulsification declined with increased hydrolysis when the HT proteolytic® enzyme was applied, resulting in a 47 % reduction in foam stability and a 26 % decrease in foam volume. The antioxidant capacity of hydrolyzed collagen (24 h) increased significantly (P ≤ 0.05), showing a 62.38 % value (DPPH) and 0.39 UA700 nm (reduction power) employing the PAL® enzyme and an 80.55 % value (ABTS) employing the HT proteolytic® enzyme. Overall, the optimization of enzymatic collagen hydrolysis enhanced both the techno-functional (solubility and emulsification) and antioxidant properties of the final hydrolysates.

 

KEYWORDS: hydrolyzed collagen, degree of hydrolysis, techno-functional properties, process optimization, antioxidant activity.

 

 

INTRODUCCIÓN

El colágeno es una de las proteínas más ubicuas y abundantes. Está presente en los tejidos conectivos laxo y denso, piel, tendones, huesos, cartílago, córneas, dentina y vasos sanguíneos. Su nombre proviene del griego “kólla” (pegamento) y “gen” (producción), aludiendo a su función estructural en los tejidos (Silvipriya y col., 2015).

 

Entre las diversas fuentes de colágeno comercial se encuentran los animales terrestres, las aves de corral y las especies marinas (Zhang y col., 2016a; Tawalbeh y col., 2025). La piel y los huesos de origen porcino y bovino se utilizan ampliamente para obtener colágeno con esos fines (Deng y col., 2023). Actualmente, diferentes industrias utilizan diversos residuos de producción, como las pieles de pescado y pollo, para su obtención, así como del procesamiento de grenetinas, basadas en procesos de economía circular, con enfoques integrados y holísticos para la utilización de los residuos alimentarios (Zhang y col., 2022).

 

El mercado del colágeno ha mejorado constantemente y el índice de productos que lo contienen ha aumentado debido a sus excepcionales propiedades tecnofuncionales y bioactivas que tienen aplicaciones en las industrias alimentaria y farmacéutica (Barzideh y col., 2014). Sus propiedades se pueden clasificar en dos categorías: las relacionadas con su comportamiento gelificante, como la capacidad de retención de agua, la formación de gel, el espesamiento y la texturización; y las asociadas con el comportamiento superficial, como la formación de películas, la función coloide protectora, la adhesión y cohesión, la estabilización, la formación de espuma y la emulsión (Ahmad y col., 2024).

 

Debido a su funcionalidad y creciente demanda, se han realizado diversos estudios para mejorar la calidad y las aplicaciones mediante su transformación en hidrolizados o péptidos bioactivos (León-López y col., 2019 Aguirre-Cruz y col., 2020). Se ha demostrado que los péptidos contenidos en el colágeno hidrolizado pueden favorecer la salud humana, exhibiendo actividades con efectos antihipertensivos, antiinflamatorios, antioxidantes, anticancerígenos, antiobesogénicos, antimicrobianos y antidiabéticos (Anzani y col., 2020).

 

El colágeno hidrolizado se puede obtener mediante el uso de enzimas comerciales. En ese proceso se rompen los enlaces peptídicos de la proteína, formándose moléculas más pequeñas, tales como, péptidos y aminoácidos libres (Ulug y col., 2021).

 

Los péptidos antioxidantes son moléculas naturales utilizadas en la industria alimentaria, farmacéutica y cosmética, por su capacidad para prevenir o retrasar la oxidación, lo que los convierte en un ingrediente popular en diversos productos (Aguirre-Cruz y col., 2020). Se ha evidenciado la actividad antioxidante de los hidrolizados/péptidos de colágeno obtenidos de piel de bovino, cerdo, pescado, pollo, así como de subproductos (huesos, pellejos, cartílagos) de las mismas fuentes. Dicha actividad puede evaluarse in vitro mediante métodos de generación de radicales libres (DPPH y ABTS) y reacciones redox (poder reductor) (Hong y col., 2019; León-López y col., 2019).

 

El colágeno hidrolizado tiene un alto potencial en la industria alimentaria, ya que puede contribuir a propiedades tecnofuncionales como la formación de espuma, la solubilidad y la emulsión. Estas propiedades pueden verse afectadas por distintos parámetros de hidrólisis, como el tipo de enzimas utilizadas, el tiempo de hidrólisis, la relación enzima-sustrato, la temperatura, la relación disolvente/material (tejido conteniendo colágeno) y el pH (Tawalbeh y col., 2023).

 

La optimización de la hidrólisis del colágeno ha sido estudiada mediante la metodología de superficie de respuesta (MSR) (Hema y col., 2017; Yu y col., 2018; Blanco y col., 2019; Nguyen y col., 2021). Esta herramienta estadística y matemática se utiliza ampliamente en el diseño de experimentos por su facilidad para optimizar las condiciones en que una o varias variables pueden mejorar un proceso (Myers y col., 2016; Montgomery, 2020).

 

El objetivo del presente trabajo fue evaluar la optimización del grado de hidrólisis del colágeno bovino mediante dos proteasas comerciales y determinar las propiedades tecnofuncionales y antioxidantes de los productos resultantes.

 

Materiales y métodos

Materia prima

Se trabajó con barredura (colágeno parcialmente desnaturalizado, obtenido de pieles bovinas) provenientes de la industria productora de grenetina, proporcionada por la empresa Nova Orgánica S. A. de C. V., y generadas por la empresa Progel S. A. de C. V. Las muestras fueron deshidratadas a 60 °C durante 3 h en un horno de secado (Thermo Scientific Heratherm, Waltham, EUA) y posteriormente se molieron en molino de cuchillas (IKA® A-10 Basic, Staufen, Alemania). La harina obtenida se hizo pasar por un tamiz de 250 mm y fue almacenada en refrigeración a 4 °C durante 6 meses, y procesada para su análisis, en un periodo no mayor a 6 meses hasta su uso.

 

Análisis químico proximal

El análisis químico proximal de la harina de barredura se realizó de acuerdo con los métodos de la Asociación de Químicos Analíticos Oficiales (AOAC, por sus siglas en inglés: Association of Official Analytical Chemists) (AOAC, 2000). Determinación de humedad por método de secado en horno (método No. 14004); cenizas por incineración (método No. 14006); extracto etéreo (grasas) por el método de Soxhlet (No. 7.056); determinación de proteínas por el método Kjeldahl (No. 2.049) utilizando un factor de conversión de 5.55 (Sosulski y Imafidon, 1990).

 

Hidrólisis del colágeno

Las muestras de harina de colágeno se hidrolizaron comparando la acción de dos proteasas comerciales PAL® y HT proteolitic® (Enmex, Grupo Kerry) ambas de grado alimenticio. La enzima PAL®, se produce mediante fermentación controlada usando Bacillus licheniformis. Tiene actividad reportada > 2 600 UN/g (Unidad de Northrop; se define como la cantidad de enzima que hidroliza el 40 % del sustrato de caseína en las condiciones del ensayo) (Lambré y col., 2023) y sus condiciones óptimas de operación se obtienen a 60 °C y pH 8.5. La enzima HT proteolitic® se obtiene por fermentación controlada de Bacillus subtilis. Su actividad > 180 UN/g, y sus condiciones óptimas de operación son 50 °C y pH 7.2.

 

El proceso de hidrólisis, para cada enzima, se llevó a cabo utilizando un diseño factorial mixto, con dos factores: tiempo (0 h, 4 h, 8 h, 12 h, 16 h, 20 h y 24 h) y relación enzima-sustrato [E/S] (0.4 UN/g, 0.8 UN/g y 1.2 UN/g). El proceso de hidrólisis se realizó por triplicado en matraces Erlenmeyer, con una relación [E/S]: búfer 1:10 (m/v) y agitación constante (120 rpm). El pH se ajustó con búfer de fosfatos 0.1 M y, junto con la temperatura, se mantuvieron en el nivel óptimo para cada enzima evaluada. La reacción enzimática fue detenida añadiendo fluoruro de fenilmetilsulfonilo (PMSF 2 mg/mL) en una relación 1:10 (v/v). Las muestras fueron congeladas a -20 °C hasta su análisis. La eficacia del proceso hidrolítico se evaluó determinando la cantidad de enlaces peptídicos escindidos mediante la medición del grado de hidrólisis.

 

Grado de hidrólisis (GH)

Se determinó evaluando la cantidad de grupos amino libres, por el método de ácido trinitrobenzensulfónico (TNBS) (Adler-Nissen, 1979), con algunas modificaciones. Se añadieron alícuotas de 125 mL de las muestras hidrolizadas a tubos de ensayo que contenían 1 mL de búfer de fosfatos 0.5 M, pH 8.2. Posteriormente, se agregó 1 mL de solución de TNBS (1 mg/mL en agua destilada); la mezcla se incubó a 50 ºC durante 1 h en oscuridad utilizando un termo baño (Felisa®, Zapopan, México). La reacción se detuvo añadiendo 2 mL de HCl 0.1 N. Las muestras se enfriaron a temperatura ambiente durante 30 min y se midió la absorbancia a 340 nm utilizando un lector de microplacas (Thermo scientific Multiskan SKY, Waltham, EUA). El GH se calculó mediante la ecuación (1):

 

 

Donde:

NH2t = concentración de grupos amino libres después de la hidrólisis.

NH2o = concentración de grupos amino libres del colágeno sin hidrolizar.

NH2max = concentración de grupos amino libres después de hidrólisis total del colágeno (que se realizó por hidrólisis con HCl 6 N a 120 ºC durante 24 h).

 

La concentración de grupos amino libres se expresó en meq L-Leucina/g proteína, los cuales fueron determinados mediante la elaboración de una curva patrón de L-Leucina (0 mM- 2.5 mM).

 

Optimización del GH

Las condiciones utilizadas como base para el estudio de optimización fueron a las 24 h con una relación E/S de 1.2 UN/g, debido a que obtuvieron el mayor GH. Para evaluar los efectos de los parámetros de procesamiento, incluido el tiempo y la relación enzima-sustrato, se utilizó la MSR, empleando un diseño central compuesto (DCC) de 2 factores y 5 niveles (Tabla 1).

 

 

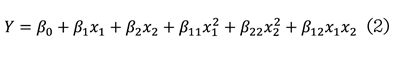
La variable dependiente (Y) fue el grado de hidrólisis. El DCC incluyó 24 experimentos, que consistieron en 9 puntos factoriales, 6 puntos axiales y 9 puntos centrales (Zhang y col., 2016b). Los datos experimentales de los ensayos se ajustaron a un polinomio empírico de segundo orden, de acuerdo con la ecuación (2):

 

 

Donde:        

b0 = Coeficiente constante de intersección.

b1 y b2 = Coeficientes de primer orden.

b1 1 y b22 = Coeficientes de segundo orden.

b12  = Coeficiente de la interacción.

 

La ecuación del modelo propuesto predice la respuesta en función de los diferentes niveles de las variables independientes (X1: tiempo y X2: relación E/S). La significancia de cada coeficiente en el modelo resultante se determinó utilizando la prueba F y el valor P alcanzado. La adecuación del modelo polinomial se expresó mediante el coeficiente de determinación múltiple () y se empleó el análisis de varianza (ANOVA, por sus siglas en inglés: Analysis of Variance) para determinar la significancia del modelo. Además, la ecuación polinomial ajustada se presentó como un gráfico de superficie para visualizar la relación entre la respuesta y los niveles experimentales de cada factor, los cuales se mostraron mediante el diagrama de Pareto de efectos estandarizados. El análisis estadístico se realizó utilizando el software Minitab 18 (State College, PA 16801, USA).

 

Determinación de proteína soluble

Se cuantificaron las fracciones proteínicas mediante el método de Bradford (1976), con algunas modificaciones. Brevemente, el reactivo de Bradford se obtuvo al: 0.01 % (m/v) Azul Brillante de Coomassie G-250, 4.7 % (m/v) etanol y 8.5 % (m/v) de ácido fosfórico. Se mezclaron 100 mL de la disolución de proteína con 5 mL del reactivo de Bradford. La absorbancia se midió a 595 nm después de 2 min en un lector de microplacas (Thermo scientific Multiskan SKY, Waltham, EUA). Se elaboró una curva patrón de albúmina sérica bovina (BSA, por sus siglas en inglés: bovine serum albumin) 0.1 mg/mL a 1 mg/mL, para cuantificar la concentración de proteína en las muestras de colágeno hidrolizado.

 

Propiedades tecnofuncionales

Las propiedades de solubilidad, espumado y emulsificación, se evaluaron de acuerdo con los métodos reportados por Hu y col. (2023) con algunas modificaciones.

 

Solubilidad

La solubilidad de las fracciones proteínicas (sin hidrolizar) y de los hidrolizados de colágeno se determinaron preparando dispersiones al 1 % m/v en búfer de fosfatos 0.05 M (ajustando el pH de 3 a 9 con HCl o NaOH 0.1 M). Las dispersiones se mantuvieron en agitación en una placa (IKA® C-MAG, Staufen, Alemania) durante 30 min y se centrifugaron a 10 000 xg por 30 min a temperatura ambiente. Los sobrenadantes se filtraron a través de filtros de 0.45 mm (Millipore, Mississauga, Canadá) y se determinó la proteína solubilizada por el método de Bradford. El porcentaje de solubilidad se calculó mediante ecuación (3).

 

 

Donde:

A = cantidad de proteína en el sobrenadante.

B = cantidad de proteína en la dispersión inicial.

 

Espumado

La capacidad de espumado (CEs) y la estabilidad de espumado (EEs) se determinaron preparando dispersiones al 1 % m/v en búfer de fosfatos 0.05 M. Las dispersiones de proteína e hidrolizados se homogenizaron por separado a 13 500 rpm durante 1 min, utilizando un homogeneizador (Ultra Turrax IKA T25, IKA-Labortechnick, Staufen, Alemania). La CEs y EEs de espumado se calcularon mediante las ecuaciones (4 y 5):

 

 

Donde:

A = volumen de la espuma inmediatamente después de homogenizar.

B = volumen inicial de la fase líquida.

 

 

Donde:

C = volumen de la espuma después de 30 min.

B = volumen inicial de la fase líquida.

 

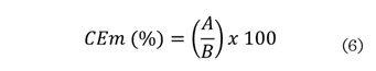
Emulsificación

Se evaluó la capacidad de emulsificación (CEm) y la estabilidad de emulsificación (EEm), de la fracción proteínica e hidrolizados. Para la formación de la emulsión, se mezclaron 5 mL de la dispersión de la muestra (1 % m/v en búfer de fosfatos 0.05 M) con 5 mL de aceite de maíz y se homogenizaron a 20 000 rpm durante 1 min, utilizando un homogeneizador Ultra Turrax (IKA T25, IKA-Labortechnick, Staufen, Alemania). Una vez formada la emulsión, ésta se sometió a centrifugación a 3 000 xg durante 5 min. La CEm se determinó mediante la ecuación (6):

 

 

Donde:

A = altura de la capa emulsificada después de centrifugar.

B = altura del contenido antes de la emulsión.

 

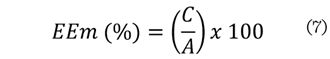
La EEm se midió en presencia de calor, manteniendo la emulsión formada en baño maría usando un termo baño (Felisa®, Zapopan, México) a 80 °C durante 30 min. Pasado este tiempo se enfrió a chorro de agua (25 °C). Posteriormente la emulsión se centrifugó a 3 000 xg por 5 min. Para la evaluación de la estabilidad se midió la altura de la emulsión antes del tratamiento térmico y la altura remanente de la emulsión después de la centrifugación. Para la medición de la altura, se utilizó un vernier digital (Marca INSIZE IP67, Suzhou, China). Para el cálculo de la EEm se utilizó la ecuación (7).

 

 

Donde:

C = altura de la capa remanente de la emulsión.

A = altura de la capa emulsificada después de centrifugar.

 

Propiedades biofuncionales: actividad antioxidante

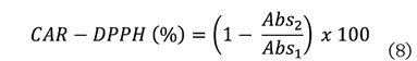
Capacidad de atrapamiento del radical DPPH (CAR-DPPH)

Se determinó como lo describen Liang y col. (2014) con algunas modificaciones. Brevemente, se añadieron 2 mL de muestra de proteína/hidrolizado de colágeno a 2 mL de solución etanólica de DPPH 0.2 mM. La mezcla de reacción se agitó y se mantuvo 30 min a temperatura ambiente en oscuridad. La absorbancia se midió a 517 nm utilizando un lector de microplacas (Thermo scientific multiskan sky, Waltham, EUA.). Se utilizó etanol en lugar de la muestra como control. La CAR-DPPH se calculó utilizando la ecuación (8):

 

 

Donde:

Abs2 = absorbancia de la muestra.

Abs1 = absorbancia del control.

 

Capacidad de atrapamiento del radical ABTS (CAR-ABTS)

Se determinó como lo describen Xie y col. (2021) con algunas modificaciones. El radical catiónico ABTS se generó mezclando una solución madre de ABTS (7 mM) con persulfato de sodio (2.45 mM); la mezcla se dejó reposar en oscuridad durante 12 h a temperatura ambiente. Luego, la solución de radicales ABTS se diluyó en solución de búfer de fosfatos salino 0.01 M, pH 7.4 (PBS, por sus siglas en inglés: phosphate buffered saline) hasta una absorbancia de 0.70 ± 0.02 nm a 730 nm antes de su uso. El experimento se realizó mezclando 2 mL de la proteína/hidrolizado de colágeno con 2 mL de la solución diluida de ABTS. La absorbancia se leyó a 730 nm (entre 1 min a 6 min después de la mezcla inicial) utilizando un lector de microplacas (Thermo scientific multiskan sky, Waltham, EUA.). Se usó PBS en lugar de la muestra como control. La CAR-ABTS se calculó utilizando la ecuación (9).

 

 

Donde:

Abs2 = absorbancia de la muestra.

Abs1 = absorbancia del control.

 

Poder reductor

Se midió según el método descrito por Xie y col. (2021) con algunas modificaciones. Se mezclaron 2.5 mL de la muestra de proteína/hidrolizado de colágeno con 2.5 mL de búfer de fosfatos (0.2 M, pH 7.4) y 2.5 mL de ferricianuro de potasio (1 % m/v). Esta mezcla se incubó a 50 °C durante 20 min, y se añadieron 2.5 mL de ácido tricloroacético (10 % m/v) a la mezcla de reacción, seguida de una centrifugación a 4 000 rpm durante 10 min. Posteriormente, se mezclaron 2.5 mL del sobrenadante con 0.5 mL de agua desionizada y 0.5 mL de cloruro férrico (FeCl3) (0.1 % m/v). La reacción se continuó durante 15 min a temperatura ambiente, posteriormente se midió la absorbancia a 700 nm (UA700 nm), utilizando un lector de microplacas (Thermo scientific multiskan sky, Waltham, EUA). Una absorbancia más alta indicaba una mayor capacidad reductora (Fe3+ ® Fe2+).

 

Análisis estadístico

Los resultados se presentaron como la media de tres muestras independientes y su desviación estándar. Se aplicó el ANOVA de una vía para evaluar los efectos de los tratamientos. Se realizó la prueba de normalidad de Kolmogorov-Smirnov para cumplir con los supuestos del ANOVA que son normalidad, además de verificar la varianza constante (igualdad de la varianza de los tratamientos) e independencia entre las muestras (Montgomery, 2020). Para evaluar las diferencias entre los valores medios, se realizó la prueba Post-hoc de Tukey con un nivel de significancia de P £ 0.05. El análisis estadístico de los datos se realizó con el software Minitab 18 (State College, PA 16801, USA).

 

RESULTADOS Y DISCUSIÓN

Análisis químico proximal

La composición proximal de la materia prima utilizada se muestra en la Tabla 2. El contenido en proteína cruda fue de 88.01 % y su composición general fue parecida a la de polvo y fibras de colágeno obtenidas de pieles de bovino (Wolf y col., 2009). Estos tres productos fueron diferentes a la gelatina de bovino, con un contenido de 52.22 % de proteína (Wulandari y col., 2016).

 

 

Las barreduras son consideradas, dentro de la industria de producción de grenetinas, como la materia prima que no cumple con las especificaciones para ser comercializada, sin embargo, están conformadas por colágeno parcialmente desnaturalizado con alto contenido proteínico (Tabla 2). Este subproducto, por lo tanto, se puede hidrolizar de forma exhaustiva para obtener un producto que puede ser comercializado como colágeno hidrolizado.

 

Grado de hidrólisis (GH)

El tiempo de hidrólisis y la relación E/S presentaron una correlación positiva, sobre el GH (Figura 1). Para la enzima PAL®, hasta las 20 h de hidrólisis, no se encontraron diferencias significativas (P > 0.05). Los valores de 64.53 % y 70.38 % en el GH, para las relaciones E/S de 0.8 UN/g y 1.2 UN/g, fueron cercanos (Figura 1A). Un comportamiento similar presentó la enzima HT proteolitic® (P £ 0.05) a lo largo de las distintas cinéticas (0.4 E/S, 0.8 E/S y 1.2 E/S). Sin embargo, no se presentaron diferencias significativas (P > 0.05) a partir de las 24 h en los sistemas con una relación E/S de 0.8 UN/g y 1.2 UN/g, obteniéndose valores de GH de 60.31 % y 67.72 %, respectivamente.

 

 

En el presente estudio se encontró un GH extensivo de 70 % (PAL®, E/S 1.2 UN/g, 24 h) y 68 % (HT proteolitic®, E/S 1.2 UN/g, 24 h) (Figura 1). Las endoproteasas (enzimas que pueden actuar sobre enlaces peptídicos dentro de la molécula de proteína) se utilizan normalmente para producir hidrolizados de proteínas, a veces en combinación con exoproteasas (enzimas que pueden escindir enlaces peptídicos en un extremo C o N terminales), además se ha reportado que las preparaciones enzimáticas comerciales pueden contener principalmente una proteasa o una mezcla de proteasas (Philipps-Wiemann, 2018; Vogelsang-O’dwyer y col., 2022).

 

Zhang y col. (2013) realizaron la hidrólisis enzimática de colágeno bovino por 4 h con alcalasa® obteniendo un GH de 18.1 %. Por otro lado, Nuñez y col. (2020) hicieron el mismo proceso, con gelatina de piel bovina durante 24 h, utilizando la enzima subtilisina, una endoproteinasa de Bacillus licheniformis, generando un GH de 26.28 %. Algunos autores, hidrolizando el colágeno de piel de pescado con diversas enzimas, reportaron diferentes grados de hidrólisis en un tiempo de 3 h de digestión: protamex® 12.29 %, alcalasa® 17.40 %, tripsina 15.02 % y neutrasa® 13.81 % (Zhang y col., 2016b; Sun y col., 2022). Los valores de GH inferiores a los mostrados en el presente trabajo, pueden deberse a distintos factores, entre los cuales se encuentran, el tipo de proteasa utilizada, la relación E/S, el tiempo de hidrólisis, el tipo de escisión enzimática (endo o exopeptidasa), así como la temperatura y el pH de operación (Bhuimbar y col., 2024).

 

Optimización del GH

Los valores experimentales y los predichos del GH, por el modelo ajustado de segundo orden, se muestran en la Tabla 3, en la evaluación de la MSR, mediante el DCC, para las proteasas PAL® y HT proteolitic®. El valor experimental más alto de GH para la enzima PAL® se obtuvo con el orden de corrida 7 (74.42 %); en tanto que, para HT proteolitic® fue con la corrida 4 (71.08 %).

 

 

Las Figuras 2 y 3 muestran los gráficos de superficie de respuesta (A), el diagrama de Pareto (B) y el modelo matemático con el valor del coeficiente de determinación (C), para la actividad hidrolítica de las enzimas PAL® y HT proteolitic®, respectivamente. Las curvas de superficie de respuesta (Figuras 2A y 3A), obtenidas mediante la aplicación del DCC, mostraron la presencia de un valor máximo (Myers y col., 2016; Montgomery, 2020), para el GH.

 

 

 

Las Figuras 2A y 3B muestran los diagramas de Pareto para los efectos estandarizados. Todos los términos de los coeficientes del modelo de segundo orden fueron significativos (P £ 0.05), para los factores Tiempo (X1) y la relación E/S (X2). En la enzima PAL®, el efecto lineal, correspondiente a la relación E/S (X2), fue el de mayor peso dentro de la variabilidad que explica el modelo cuadrático (Figura 2B); encontrándose, así mismo, un coeficiente de determinación ajustado para el modelo presentado de 0.93 (Figura 2C).

 

En la enzima HT proteolitic®, el efecto cuadrático de la relación E/S () fue el término, dentro del modelo, que mayor peso tuvo sobre la respuesta (Figura 3B). Además, la variabilidad de los datos, explicada por el modelo matemático, arrojó un valor de 0.96 (Figura 3C).

 

La MSR mostró que los valores máximos de optimización del GH extensivo, para las enzimas PAL® y HT proteolitic® (Figuras 2A y 3A), fueron 76.38 % (23.75 h y 1.43 E/S) y 72.15 % (23.18 h y 1.35 E/S), respectivamente. Estas condiciones se utilizaron para determinar las propiedades tecnofuncionales y biofuncionales.

 

En la literatura no se encontró información sobre el proceso de optimización de la hidrólisis de colágeno bovino utilizando la MSR, pero existen reportes de estudios que emplearon sustratos de colágeno de piel de pescado, pepino de mar y atún de aleta amarilla, entre otras. Yu y Chen (2014) documentaron la optimización del GH de colágeno del pepino de mar (Acaudina molpadioides) mediante la MSR, utilizando una hidrólisis con papaína durante 30 min, y hallaron un GH de 17 %. Por otro lado, durante la hidrólisis para la producción de péptidos de colágeno, a partir de la piel de pescado (Epinephelus malabaricus), usando las enzimas proteolíticas pepsina (5.47 h), papaína (4.25 h) y las proteasas del páncreas de bovino (4.25 h), encontraron un GH de 10 %, 20 % y 28 %, respectivamente (Hema y col., 2017). Por último, Nguyen y col. (2021) optimizaron la hidrólisis de colágeno de la piel de atún aleta amarilla (Thunnus albacares) con la enzima alcalasa® en un tiempo de 5.2 h con un GH de 24.54 %.

 

Propiedades tecnofuncionales

La hidrólisis enzimática, aplicada a las fibras de colágeno, ha sido ampliamente utilizada con la finalidad de evidenciar algunas propiedades tecnofuncionales (solubilidad, espumado y emulsificación).

 

Solubilidad

La solubilidad es una de las propiedades más importantes de las proteínas, ya que define sus aplicaciones en la industria alimentaria, farmacéutica y médica, entre otras. Influye en otras propiedades, como la formación de espuma y la emulsión, debido a la rápida migración y adsorción de los péptidos en la superficie de la interfase (Tawalbeh y col., 2025).

 

En la Figura 4 se observa el efecto del pH sobre el colágeno nativo (0 h) y el colágeno obtenido por hidrólisis enzimática (24 h), a diferente pH (3 a 9). Ambas enzimas, PAL® y HT proteolitic®, indujeron un incremento significativo (P £ 0.05) en la solubilidad del rango de pH estudiado. La hidrólisis con PAL® no incrementó significativamente (P £ 0.05) a partir de pH 5, en tanto que con HT proteolitic® no incrementó a partir de pH 7. En un ambiente alcalino, con un pH entre 7 a 11, el colágeno adquiere una mayor carga negativa, mejorando las fuerzas de repulsión entre las cadenas, aumentando la solubilidad (Song y col., 2021b). El máximo valor de GH alcanzado fue de 95.02 ± 2.3 % (pH 9) y 93.47 ± 3.1 % (pH 7) para PAL® y HT proteolitic®, respectivamente.

 

 

El comportamiento encontrado en el presente estudio es similar al reportado por algunos autores. Chi y col. (2016) documentaron valores de solubilidad superiores al 95 % para hidrolizados de colágeno de diferentes pieles de pescado. En su estudio reportaron que el proceso de hidrólisis, usando tripsina en un medio débilmente básico, podría mejorar considerablemente la solubilidad de las muestras en todos los valores de pH. Anzani y col. (2020) evaluaron la solubilidad de los hidrolizados de colágeno de pieles bovinas y porcinas obtenidos mediante la enzima Alcalsa® y encontraron que el efecto de la hidrólisis enzimática mejoraba la solubilidad » 100 %. Los productos de hidrólisis enzimática, con un GH elevado, presentaron péptidos con pesos moleculares bajos. González-Serrano y col. (2022) documentaron el peso molecular relativo de hidrolizados de piel de colágeno del pescado carpa, obtenidos con Alcalasa®, en donde las fracciones con pesos entre 3 kDa a 10 kDa y < 1 kDa, reportaron solubilidades de 87.3 % y 89.1 %, respectivamente, lo que indica que la solubilidad aumentó al disminuir el tamaño, probablemente debido al hecho de que las moléculas pequeñas fueron más polares y solubles.

 

El efecto de la hidrólisis enzimática, en la solubilidad de una proteína específica, puede cambiar por efecto de varios factores, que incluyen el tipo de proteasa, el tiempo de reacción, el grado de hidrólisis, la relación enzima-sustrato y las condiciones ambientales (Vogelsang-O’dwyer y col., 2022). Los valores obtenidos en el presente estudio indicaron que el hidrolizado de colágeno mostraba una mayor solubilidad, asociada a un alto grado de hidrólisis (Figuras 2 y 3). Este aumento en la solubilidad podría deberse a la reducción del peso molecular por la acción de las enzimas, induciendo el aumento en el número de unidades polipeptídicas más pequeñas, y probablemente más hidrofílicas y solvatadas. Los péptidos más pequeños pueden ser más polares y formar enlaces de hidrógeno con el agua, lo que incrementa su solubilidad en soluciones acuosas (Chi y col., 2016). Por lo tanto, se puede especular que, una hidrólisis extensiva del colágeno, utilizando proteasas en su pH óptimo, podría ser una estrategia eficaz para mejorar la solubilidad del colágeno.

 

Espumado

La formación de espuma se produce cuando, en una mezcla líquida, la presencia de proteínas provoca una disminución de la tensión superficial entre la interfaz del agua y el aire. La capacidad y la estabilidad de espumado de las fracciones de péptidos son dos de los parámetros medibles para evaluar la formación y estabilidad de espumas en sistemas proteínicos y peptídicos (Vogelsang-O’dwyer y col., 2022). La Figura 5 muestra la capacidad de espumado (CEs), para los sistemas realizados con PAL® y HT proteolitic®. El efecto de la hidrólisis (24 h) causó una reducción significativa (P £ 0.05) del 34 % y 27 %, respectivamente, comparado con el colágeno sin hidrolizar (0 h). Respecto a la estabilidad de espumado (EEs) se encontró un comportamiento similar a la CEs, presentando una reducción significativa (P £ 0.05) del 47 % (PAL®) y 26 % (HT proteolitic®). La CEs muestra la expansión de la espuma inmediatamente después del batido, mientras que la EEs muestra la expansión de la espuma después de batir durante un periodo de tiempo. La disminución de ambas propiedades, encontrada en este estudio, ocurrió debido a que la hidrólisis extensiva del colágeno genera fracciones peptídicas, y las moléculas de proteínas con alto peso molecular pueden interactuar mejor en la interfase generando películas más resistentes, lo que conduce a una mayor estabilidad de la espuma. Las propiedades espumantes de la proteína pueden verse afectadas por la fuente, las propiedades intrínsecas, la composición y la conformación de las proteínas (Tawalbeh y col., 2025) y en este estudio, la hidrólisis enzimática parece haber modificado las propiedades intrínsecas.

 

 

Diversas investigaciones han evaluado la CEs y la EEs, encontrando reducciones mínimas en ambos parámetros analizados, debido a los menores tiempos de hidrólisis, lo cual genera espumas más estables, por lo que, las cadenas polipeptídicas liberadas mediante el proceso de digestión enzimática parecen haber reducido su capacidad de formar interacciones proteína-proteína, disminuyendo la incapacidad de formar películas fuertes, debido a la falta de estabilización de la interfase líquido-aire en el sistema disperso de la espuma (Chi y col., 2016; Vidal y col., 2020; Zamorano-Apodaca y col., 2020).

 

Emulsificación

Las propiedades emulsionantes son importantes en los sistemas alimentarios por que contribuyen directamente a la textura y las propiedades sensoriales de los alimentos (Xie y col., 2021). En la Figura 6 se presenta el efecto de la hidrólisis de ambas enzimas sobre la capacidad de emulsificación (CEm) y la estabilidad de la emulsión (EEm). Ambos parámetros incrementaron de manera significativa (P ≤ 0.05), por efecto del hidrolizado de 24 h, respecto al control, colágeno sin hidrolizar (0 h). La CEm aumentó 48 % (PAL®) y 46 % (HT proteolitic®), con respecto al colágeno sin hidrolizar. Es necesario mencionar que, la comparación a las 24 h de hidrólisis no presentó diferencias significativas (P > 0.05) por el tipo de enzima utilizada. Para la EEm se encontró un comportamiento similar, la estabilidad para PAL® aumentó 34 %, mientras que para HT proteolitic® incrementó en 26 %. Además, se hallaron diferencias significativas (P ≤ 0.05) para el hidrolizado de 24 h por efecto del tipo de enzima.

 

 

El comportamiento encontrado en el presente estudio fue diferente al reportado por algunos autores. Hu y col. (2023) documentaron los efectos de la CEm (53 %) y la EEm (68 %) en colágeno extraído por pepsina, usando pH 7. Anzani y col. (2020) hidrolizaron colágeno de piel porcina, utilizando Alcalsa®, y reportaron una reducción en la CEm y EEm. Asociaron sus resultados a que los hidrolizados reducen el peso molecular de la fracción proteínica, y los polipéptidos más grandes, que contienen cargas y grupos hidrofílicos e hidrofóbicos, están mejor adaptados para estabilizar las películas de proteína en emulsiones de aceite en agua (Chi y col., 2014). Sin embargo, según Schmidt y col. (2020), el hidrolizado de colágeno de piel de pollo, con bajo peso molecular, presentó valores más altos de EEm y CEm en comparación con el no hidrolizado. Los autores sugieren que, en su estudio, las cadenas polipeptídicas de menor tamaño pudieron presentar mayor flexibilidad molecular, permitiéndoles difundirse fácilmente a la interfaz aceite-agua.

 

Propiedades biofuncionales: actividad antioxidante

Capacidad de atrapamiento del radical DPPH (CAR-DPPH)

El radical DPPH es uno de los radicales libres más estables. Puede usarse para probar la capacidad de los compuestos para actuar como atrapadores (captadores) de radicales libres o donantes de hidrógeno (Munteanu y Apetrei, 2021). En la Tabla 4 se muestra el efecto de la hidrólisis sobre el porcentaje de atrapamiento del radical DPPH. Se puede apreciar que el colágeno hidrolizado, obtenido mediante ambas enzimas, incrementó de forma significativa (P  0.05). Además, el valor de la CAR-DPPH a las 24 h para la enzima PAL® fue estadísticamente mayor, comparado con el de la enzima HT proteolitic®. El comportamiento descrito en el presente estudio mostró una correspondencia entre el GH y la capacidad eliminadora de radicales DPPH, lo que sugiere una probable dependencia con el tamaño molecular de los hidrolizados de colágeno. Diversas investigaciones, realizadas con hidrolizados de colágeno de piel de bovino, piel de pescado y tejido óseo bovino, presentaron el mismo comportamiento, con incrementos desde 15 % hasta 85 % en la CAR-DPPH. Esta variación depende del tiempo de hidrólisis, el tipo de proteasa, así como de la relación E/S utilizada. Los autores mencionaron que el poder antioxidante de los péptidos y/o aminoácidos es superior al de las proteínas nativas, debido a la facilidad de donar electrones o átomos de hidrógeno (Liang y col., 2014; Chi y col., 2016; Song y col., 2021a; Xie y col., 2021; Vidal y col., 2022).

 

 

Capacidad de atrapamiento del radical ABTS (CAR-ABTS)

El ensayo de CAR-ABTS es un método para determinar la capacidad antioxidante, en el que el radical se oxida para formar un complejo radical catiónico ABTS•+. Este método también evalúa la capacidad de los antioxidantes de donar un electrón o un átomo de hidrógeno para estabilizar los radicales. Se puede aplicar en un amplio rango de pH y es soluble en medios acuosos y orgánicos (Munteanu y Apetrei, 2021). En este trabajo se observó que, en los hidrolizados de colágeno aumentó la CAR-ABTS de forma significativa (P ≤ 0.05), sin embargo, los hidrolizados de 24 h no presentaron diferencias significativas por el efecto del sistema enzimático utilizado.

 

El comportamiento encontrado en este estudio es semejante al reportado por Song y col. (2021a), quienes hidrolizando colágeno de hueso bovino observaron un aumento en la CAR-ABTS. Los autores mencionaron que, el fenómeno podría resultar de la acción combinada de los aminoácidos terminales o dipéptidos y tripéptidos. Además, el peso molecular más bajo puede desempeñar un papel importante, debido a que la estructura secundaria de estas moléculas expone relativamente los grupos R de los aminoácidos. Por otra parte, durante la evaluación de hidrolizados de colágeno de hueso, glicosilados antes y después de llevarse a cabo la reacción de Maillard, presentaron productos de glicosilación que podrían desempeñar el papel de donadores de hidrógeno, al mostrar una mayor actividad CAR-ABTS. Los compuestos generados durante el proceso podrían desempeñar un papel antioxidante, al inducir la extinción de radicales mediante el mecanismo de transferencia de átomos de hidrógeno o de su reducción directa por transferencia de electrones (Qi y col., 2024).

 

Poder reductor

El poder reductor es un método que mide la reducción de iones férricos (Fe3+) al complejo ferroso intensamente azul (Fe2+) por medio de antioxidantes en ambientes ácidos (Munteanu y Apetrei, 2021). En el presente estudio, se encontró un aumento significativo (P £ 0.05), del poder reductor de ambas enzimas utilizadas, de » 3.9 veces para PAL® y » 3.36 veces para HT proteolitic®, lo que indica que los péptidos generados por la hidrólisis enzimática representan una excelente fuente donadora de electrones. Xie y col. (2021), en su estudio sobre colágeno hidrolizado, evaluaron el mismo método, encontrando valores de absorbancia (UA700 nm) entre 0.149 y 0.323, similares a los del presente estudio. La composición de los residuos de aminoácidos en los péptidos es uno de los factores importantes que afectan a la actividad antioxidante de las cadenas polipeptídicas. Se ha demostrado que los aminoácidos glicina (Gly) y prolina (Pro), ambos abundantes en el colágeno, desempeñan un papel importante en la capacidad de eliminación de radicales libres en ciertos péptidos (Wang y col., 2013). Además, los residuos aromáticos e hidrofóbicos hallados en los hidrolizados de colágeno, mostraron una alta eficiencia en atrapar radicales libres debido a su facilidad para donar átomos de hidrógeno (Xie y col., 2021).

 

Conclusiones

La optimización del proceso de hidrólisis del colágeno bovino con las endoproteasas comerciales PAL® y HT proteolitic® presentaron un grado de hidrólisis extensivo (76.38 % y 72.15 %, respectivamente). Los modelos polinómicos de segundo orden generados explicaron entre 93 % y 96 % la variabilidad de los datos experimentales. Los hidrolizados de colágeno mejoraron significativamente en su solubilidad, así como en la capacidad y estabilidad de emulsificación, sin embargo, disminuyeron en la capacidad y estabilidad de espumado. La asociación directa entre el colágeno hidrolizado y las actividades antioxidantes de los péptidos generados por la hidrólisis enzimática, indica que el colágeno hidrolizado, obtenido bajo las condiciones de optimización, presentó propiedades tecnofuncionales y antioxidantes mejoradas, lo que sugiere una potencial aplicación como ingrediente funcional en sistemas alimentarios, que debe ser comprobada mediante estudios específicos.

 

Agradecimientos

Los autores agradecen al Instituto de Innovación Ciencia y Emprendimiento para la Competitividad del estado de Guanajuato, por el financiamiento otorgado al proyecto con clave IDEAGTO/CONV/099/2023.

 

Declaración de conflicto de intereses

Los autores declararon no tener conflictos de intereses de ningún tipo.

 

 

Referencias

Adler-Nissen, J. (1979). Determination of the degree of hydrolysis of food protein hydrolysates by trinitrobenzenesulfonic acid. Journal of Agricultural and Food Chemistry, 27(6), 1256-1262. https://doi.org/10.1021/jf60226a042

 

Aguirre-Cruz, G., León-López, A., Cruz-Gómez, V., Jiménez-Alvarado, R., & Aguirre-Álvarez, G. (2020). Collagen Hydrolysates for Skin Protection: Oral Administration and Topical Formulation. Antioxidants, 9(2), 181. https://doi.org/10.3390/antiox9020181

 

Ahmad, M. I., Li, Y., Pan, J., Liu, F., Dai, H., Fu, Y., Huang, T., Farooq, S., & Zhang, H. (2024). Collagen and gelatin: Structure, properties, and applications in food industry. International Journal of Biological Macromolecules, 254, 128037. https://doi.org/10.1016/j.ijbiomac.2023.128037

 

Anzani, C., Álvarez, C., & Mullen, A. M. (2020). Assessing the effect of Maillard reaction with dextran on the techno-functional properties of collagen-based peptides obtained from bovine hides. LWT, 118, 108800. https://doi.org/10.1016/j.lwt.2019.108800

 

AOAC, Association of Official Analytical Chemists (2000). Official Methods of Analysis (Seventeenth edition). AOAC International.

 

Barzideh, Z., Abd-Latif, A., Gan, C. Y., Abedin, Md. Z., & Alias, A. K. (2014). ACE Inhibitory and Antioxidant Activities of Collagen Hydrolysates from the Ribbon Jellyfish (Chrysaora sp.). Food Technology and Biotechnology, 52(4), 495-504. https://doi.org/10.17113/ftb.52.04.14.3641

 

Bhuimbar, M. V., Jalkute, C. B., Bhagwat, P. K., & Dandge, P. B. (2024). Purification, characterization and application of collagenolytic protease from Bacillus subtilis strain MPK. Journal of Bioscience and Bioengineering, 138(1), 21-28. https://doi.org/10.1016/j.jbiosc.2024.03.003

 

Blanco, M., Vázquez, J. A., Pérez-Martín, R. I., & G. Sotelo, C. (2019). Collagen Extraction Optimization from the Skin of the Small-Spotted Catshark (S. canicula) by Response Surface Methodology. Marine Drugs, 17(1), 40. https://doi.org/10.3390/md17010040

 

Bradford, M. M. (1976). A rapid and sensitive method for the quantitation of microgram quantities of protein utilizing the principle of protein-dye binding. Analytical Biochemistry, 72(1-2), 248-254. https://doi.org/10.1016/0003-2697(76)90527-3

 

Chi, C., Hu, F., Li, Z., Wang, B., & Luo, H. (2016). Influence of Different Hydrolysis Processes by Trypsin on the Physicochemical, Antioxidant, and Functional Properties of Collagen Hydrolysates from Sphyrna lewini, Dasyatis akjei, and Raja porosa. Journal of Aquatic Food Product Technology, 25(5), 616-632. https://doi.org/10.1080/10498850.2014.898004

 

Chi, C. F., Cao, Z. H., Wang, B., Hu, F. Y., Li, Z. R., & Zhang, B. (2014). Antioxidant and Functional Properties of Collagen Hydrolysates from Spanish Mackerel Skin as Influenced by Average Molecular Weight. Molecules, 19(8), 11211–11230. https://doi.org/10.3390/molecules190811211

 

Deng, G., Huang, K., Jiang, X., Wang, K., Song, Z., Su, Y., Li, C., Zhang, S., Wang, S., & Huang, Y. (2023). Developments for collagen hydrolysates as a multifunctional anti-oxidant in biomedical domains. Collagen and Leather, 5(1), 26. https://doi.org/10.1186/s42825-023-00131-9

 

González-Serrano, D. J., Hadidi, M., Varcheh, M., Jelyani, A. Z., Moreno, A., & Lorenzo, J. M. (2022). Bioactive Peptide Fractions from Collagen Hydrolysate of Common Carp Fish Byproduct: Antioxidant and Functional Properties. Antioxidants, 11(3), 509. https://doi.org/10.3390/antiox11030509

 

Hema, G. S., Joshy, C. G., Shyni, K., Chatterjee, N. S., Ninan, G., & Mathew, S. (2017). Optimization of process parameters for the production of collagen peptides from fish skin (Epinephelus malabaricus) using response surface methodology and its characterization. Journal of Food Science and Technology, 54(2), 488-496. https://doi.org/10.1007/s13197-0172490-2

 

Hong, G. P., Min, S. G., & Jo, Y. J. (2019). Anti-Oxidative and Anti-Aging Activities of Porcine By-Product Collagen Hydrolysates Produced by Commercial Proteases: Effect of Hydrolysis and Ultrafiltration. Molecules, 24(6), 1104. https://doi.org/10.3390/molecules24061104

 

Hu, G., Li, X., Su, R., Corazzin, M., Liu, X., Dou, L., Sun, L., Zhao, L., Su, L., Tian, J., & Jin, Y. (2023). Effects of ultrasound on the structural and functional properties of sheep bone collagen. Ultrasonics Sonochemistry, 95, 106366. https://doi.org/10.1016/j.ultsonch.2023.106366

 

Lambré, C., Barat-Baviera, J. M., Bolognesi, C., Cocconcelli, P. S., Crebelli, R., Gott, D. M., Grob, K., Lampi, E., Mengelers, M., Mortensen, A., Rivière, G., Steffensen, I., Tlustos, C., Van Loveren, H., Vernis, L., Zorn, H., Herman, L., Aguilera, J., Andryszkiewicz, M., Fernandez-Fraguas, C., Liu, Y., & Chesson, A. (2023). Safety evaluation of the food enzyme bacillolysin from the non-genetically modified Bacillus amyloliquefaciens strain HPN 131. EFSA Journal, 21(11), 1-12. https://doi.org/10.2903/j.efsa.2023.8390

 

León-López, A., Fuentes-Jiménez, L., Hernández-Fuentes, A. D., Campos-Montiel, R. G., & Aguirre-Álvarez, G. (2019). Hydrolysed Collagen from Sheep-skins as a Source of Functional Peptides with Antioxidant Activity. International Journal of Molecular Sciences, 20(16), 3931. https://doi.org/10.3390/ijms20163931

 

Liang, Q., Wang, L., He, Y., Wang, Z., Xu, J., & Ma, H. (2014). Hydrolysis kinetics and antioxidant activity of collagen under simulated gastrointestinal digestion. Journal of Functional Foods, 11, 493-499. https://doi.org/10.1016/j.jff.2014.08.004

 

Montgomery, D. C. (2020). Design and Analysis of Experiments (10th edition). Wiley.

 

Munteanu, I. G. & Apetrei, C. (2021). Analytical Methods Used in Determining Antioxidant Activity: A Review. International Journal of Molecular Sciences, 22(7), 3380. https://doi.org/10.3390/ijms22073380

 

Myers, R. H., Montgomery, D. C., & Anderson-Cook, C. M. (2016). Response Surface Methodology: Process and Product Optimization Using Designed Experiments (Fourth edition). Wiley series in probability and statistics.

 

Nguyen, B. C., Kha, T. C., Nguyen, K. H. N., & Nguyen, H. M. X. (2021). Optimization of enzymatic hydrolysis of collagen from yellowfin tuna skin (Thunnus albacares) by response surface methodology and properties of hydrolyzed collagen. Journal of Food Processing and Preservation, 45(4). https://doi.org/10.1111/jfpp.15319

 

Nuñez, S. M., Cárdenas, C., Pinto, M., Valencia, P., Cataldo, P., Guzmán, F., & Almonacid, S. (2020). Bovine skin gelatin hydrolysates as potential substitutes for polyphosphates: The role of degree of hydrolysis and pH on water-holding capacity. Journal of Food Science, 85(7), 1988-1996. https://doi.org/10.1111/1750-3841.15299

 

Philipps-Wiemann, P. (2018). Proteases—general aspects. In Nunes, C.S. and Kumar, V. (Ed.), Enzymes in Human and Animal Nutrition (pp. 257-266). Elsevier. https://doi.org/10.1016/B978-0-12-8054192.00012-5

 

Qi, L., Zhang, H., Guo, Y., Liu, H., & Zhang, C. (2024). Preparation, characterization and antioxidant activity analysis of three Maillard glycosylated bonecollagen hydrolysates from chicken, porcine and bovine. Food Science and Human Wellness, 13(4), 2002–2013. https://doi.org/10.26599/FSHW.2022.9250166

 

Schmidt, M. M., Fontoura, A. M. da, Vidal, A. R., Dornelles, R. C. P., Kubota, E. H., Mello, R. de O., Cansian, R. L., Demiate, I. M., & Oliveira, C. S. (2020). Characterization of hydrolysates of collagen from mechanically separated chicken meat residue. Food Science and Technology, 40(suppl 1), 355-362. https://doi.org/10.1590/fst.14819

 

Silvipriya, K., Kumar, K., Bhat, A., Kumar, B., John, A., & Lakshmanan, P. (2015). Collagen: Animal Sources and Biomedical Application. Journal of Applied Pharmaceutical Science, 123-127. https://doi.org/10.7324/JAPS.2015.50322

 

Song, Y., Fu, Y., Huang, S., Liao, L., Wu, Q., Wang, Y., Ge, F., & Fang, B. (2021a). Identification and anti-oxidant activity of bovine bone collagen-derived novel peptides prepared by recombinant collagenase from Bacillus cereus. Food Chemistry, 349, 129143. https://doi.org/10.1016/j.foodchem.2021.129143

 

Song, Z., Liu, H., Chen, L., Chen, L., Zhou, C., Hong, P., & Deng, C. (2021b). Characterization and comparison of collagen extracted from the skin of the Nile tilapia by fermentation and chemical pretreatment. Food Chemistry, 340, 128139. https://doi.org/10.1016/j.foodchem.2020.128139

 

Sosulski, F. W. & Imafidon, G. I. (1990). Amino acid composition and nitrogen-to-protein conversion factors for animal and plant foods. Journal of Agricultural and Food Chemistry, 38(6), 1351-1356. https://doi.org/10.1021/jf00096a011

 

Sun, S., Gao, Y., Chen, J., & Liu, R. (2022). Identification and release kinetics of peptides from tilapia skin collagen during alcalase hydrolysis. Food Chemistry, 378, 132089. https://doi.org/10.1016/j.foodchem.2022.132089

 

Tawalbeh, D., Ahmad, W. A. N. W., & Sarbon, N. M. (2023). Effect of ultrasound pretreatment on the functional and bioactive properties of legumes protein hydrolysates and peptides: A comprehensive review. Food Reviews International, 39(8), 5423-5445. https://doi.org/10.1080/87559129.2022.2069258

 

Tawalbeh, D., Kha’sim, M. I., Mhd Sarbon, N., & Sarbon, N. M. (2025). Techno-Functional and Bio-activity Properties of Collagen Hydrolysate and Peptide: A Review. Food Reviews International, 1-29. https://doi.org/10.1080/87559129.2025.2450052

 

Ulug, S. K., Jahandideh, F., & Wu, J. (2021). Novel technologies for the production of bioactive peptides. Trends in Food Science & Technology, 108, 27-39. https://doi.org/10.1016/j.tifs.2020.12.002

 

Vidal, A. R., Cansian, R. L., Mello, R. de O., Demiate, I. M., Kempka, A. P., Dornelles, R. C. P., Rodriguez, J. M. L., & Campagnol, P. C. B. (2022). Production of Collagens and Protein Hydrolysates with Antimicrobial and Antioxidant Activity from Sheep Slaughter By-Products. Antioxidants, 11(6), 1173. https://doi.org/10.3390/antiox11061173

 

Vidal, A. R., Duarte, L. P., Schmidt, M. M., Cansian, R. L., Fernandes, I. A., de-Oliveira-Mello, R., Demiate, I. M., & Dornelles, R. C. P. (2020). Extraction and characterization of collagen from sheep slaughter by-products. Waste Management, 102, 838-846. https://doi.org/10.1016/j.wasman.2019.12.004

 

Vogelsang-O’dwyer, M., Sahin, A. W., Arendt, E. K., & Zannini, E. (2022). Enzymatic Hydrolysis of Pulse Proteins as a Tool to Improve Techno-Functional Properties. Foods, 11(9), 1307. https://doi.org/10.3390/foods11091307

 

Wang, B., Wang, Y. M., Chi, C. F., Luo, H. Y., Deng, S. G., & Ma, J. Y. (2013). Isolation and Characterization of Collagen and Antioxidant Collagen Peptides from Scales of Croceine Croaker (Pseudosciaena crocea). Marine Drugs, 11(11), 4641-4661. https://doi.org/10.3390/md11114641

 

Wolf, K. L., Sobral, P. J. A., & Telis, V. R. N. (2009). Physicochemical characterization of collagen fibers and collagen powder for self-composite film production. Food Hydrocolloids, 23(7), 1886-1894. https://doi.org/10.1016/j.foodhyd.2009.01.013

 

Wulandari, D., Triatmojo, S., Erwanto, Y., & Pranoto, Y. (2016). Physicochemical Properties and Amino Acid and Functional Group Profiles of Gelatin Extracted from Bovine Split Hide Cured by Acid. Pakistan Journal of Nutrition, 15(7), 655–661. https://doi.org/10.3923/pjn.2016.655.661

 

Xie, Z., Wang, X., Yu, S., He, M., Yu, S., Xiao, H., & Song, Y. (2021). Antioxidant and functional properties of cowhide collagen peptides. Journal of Food Science, 86(5), 1802-1818. https://doi.org/10.1111/1750-3841.15666

 

Yu, F., Zong, C., Jin, S., Zheng, J., Chen, N., Huang, J., Chen, Y., Huang, F., Yang, Z., Tang, Y., & Ding, G. (2018). Optimization of Extraction Conditions and Characterization of Pepsin-Solubilised Collagen from Skin of Giant Croaker (Nibea japonica). Marine Drugs, 16(1), 29. https://doi.org/10.3390/md16010029

 

Yu, P., & Chen, H. (2014). Optimization of Conditions for Enzymatic Production of Collagen Hydrolysates from a Low-Value Acaudina molpadioides and Their Activities. Journal of Food Biochemistry, 38(2), 227-235. https://doi.org/10.1111/jfbc.12041

 

Zamorano-Apodaca, J. C., García-Sifuentes, C. O., Carvajal-Millán, E., Vallejo-Galland, B., Scheuren-Acevedo, S. M., & Lugo-Sánchez, M. E. (2020). Biological and functional properties of peptide fractions obtained from collagen hydrolysate derived from mixed by-products of different fish species. Food Chemistry, 331, 127350. https://doi.org/10.1016/j.foochem.2020.127350

 

Zhang, Q., Dhir, A., & Kaur, P. (2022). Circular economy and the food sector: A systematic literature review. Sustainable Production and Consumption, 32, 655-668. https://doi.org/10.1016/j.spc.2022.05.010

 

Zhang, Q., Wang, Q., Lv, S., Lu, J., Jiang, S., Regenstein, J. M., & Lin, L. (2016a). Comparison of collagen and gelatin extracted from the skins of Nile tilapia (Oreochromis niloticus) and channel catfish (Ictalurus punctatus). Food Bioscience, 13, 41-48. https://doi.org/10.1016/j.fbio.2015.12.005

 

Zhang, Y., Ma, L., & Otte, J. (2016b). Optimization of Hydrolysis Conditions for Production of Angiotensin-Converting Enzyme Inhibitory Peptides from Basa Fish Skin Using Response Surface Methodology. Journal of Aquatic Food Product Technology, 25(5), 684-693. https://doi.org/10.1080/10498850.2014.919049

 

Zhang, Y., Olsen, K., Grossi, A., & Otte, J. (2013). Effect of pretreatment on enzymatic hydrolysis of bovine collagen and formation of ACE-inhibitory peptides. Food Chemistry, 141(3), 2343-2354. https://doi.org/10.1016/j.foodchem.2013.05.058